×
使用浏览器的分享功能,把这篇文章分享出去
  • 微信

  • 微博

取消
  • 关键词:

【公告】大连集装箱码头有限公司超期存放集装箱债务履行及留置财产处置催告通知函

作者:

来源:

大连集装箱码头有限公司
超期存放集装箱债务履行及留置财产处置催告通知函

以下箱主、韩进海运株式会社(船公司)HANJIN SHIPPING CO; LTD、以下箱相关船公司、相关船代公司等相关权益人:
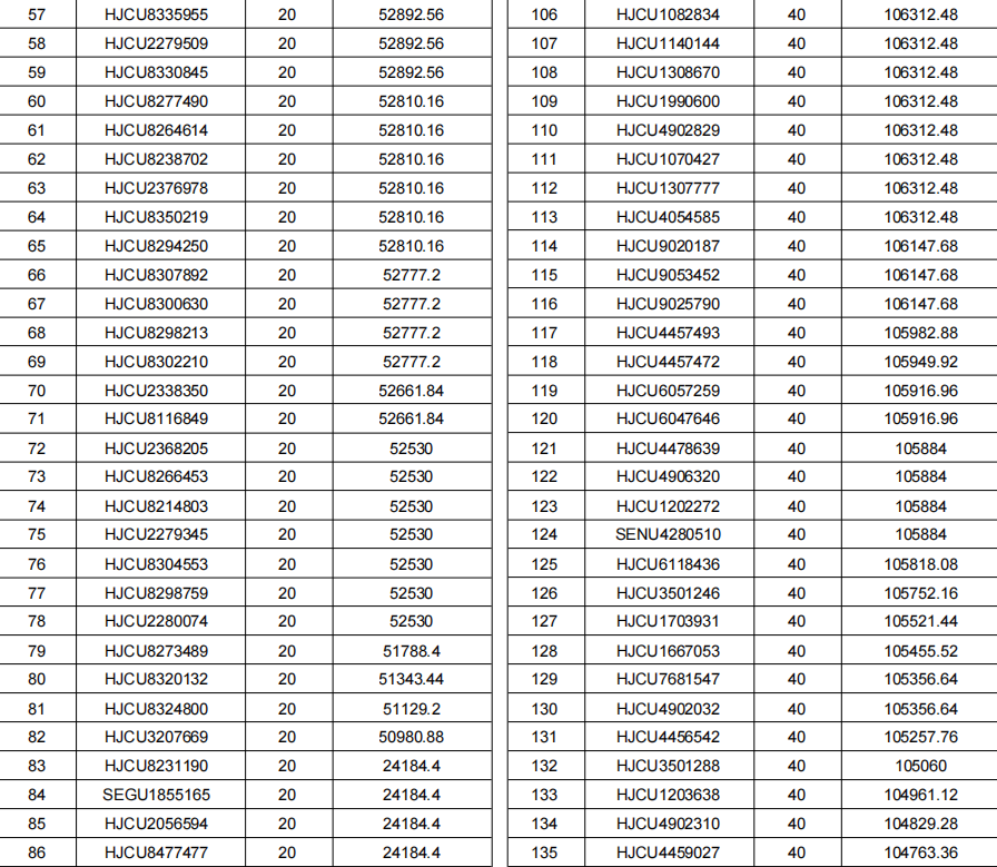
以下集装箱于 2016 年 01 月至今卸载堆存于大连集装箱码头有限公司(原大连集装箱码头有限公司、原大连港湾集装箱码头有限公司,原大连国际集装箱码头有限公司),至今无人缴费提箱,产生堆存等费用如下(详见下表)。现我公司拟行使留置权变卖处置以下集装箱并用于清偿拖欠我公司费用。请以下集装箱物权所有人、相关结算主体、责任主体等于本公告发布日起 60 日内与我公司联系偿还欠款、缴费提箱,逾期未联系视为同意我公司处置以下集装箱并用于偿还债务,同时我公司保留继续追索剩余欠款的权利。
特此公告。

我公司联系方式:
联系人:张先生    联系电话:0411-87595311
联系人:王女士    联系电话:0411-87597346
大连集装箱码头有限公司
2025 年 08 月 11 日



声明: 1、凡本网注明“来源:中国航务周刊”,“中国航务周刊官方微信”所有自采新闻(含图片),未经允许不得转载或镜像,授权转载应在授权范围内使用,并注明来源。 2、部分内容转载自其他媒体,转载目的在于传递更多信息,并不代表本网赞同其观点和对其真实性负责。 3、如因作品内容、版权等问题需要同本网联系的,请在30日内进行。电话:010-58678896

相关推荐

作者

{{twointroduction.specialColumnAuthorName}}

个人详情
{{twointroduction.specialColumnAuthorIntroduce}}
船期查询
在线阅读 更多 >>

第1390期

点击阅读